Es posible que te preguntes sobre el inicio de la era moderna y de como los humanos pasamos a contaminar masivamente mares, playas y océanos. Si, todo comenzó con la baquelita, el primer plástico artificial creado por el hombre, en concreto por Leo Hendrik Baekeland.
Con ella la industria se revolucionó y se comenzaron a fabricar todo tipo de cosas como los míticos teléfonos de volante.

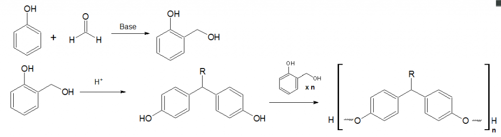
¿Cuál fue el primer plástico?
El primer plástico sintético fue la baquelita, desarrollado por Leo Baekeland en 1907. La baquelita es un polímero termoestable que se obtiene mediante la reacción de fenol y formaldehído. Este material revolucionó la industria debido a su durabilidad, resistencia al calor y aislamiento eléctrico, lo que lo hizo útil en una variedad de aplicaciones, desde componentes eléctricos hasta utensilios domésticos y joyería.
La baquelita marcó el comienzo de la era de los plásticos y sentó las bases para el desarrollo de numerosos polímeros sintéticos en las décadas siguientes.
¿Qué productos se fabricaban con la Baquelita?
La baquelita, al ser el primer plástico sintético exitoso, tuvo una amplia gama de aplicaciones en diversos productos. A lo largo del tiempo, su uso ha disminuido debido al desarrollo de otros plásticos más duraderos y sostenibles, pero aún se encuentra en algunos productos.
Aquí hay algunos ejemplos de productos en los que se utilizaba la baquelita:

- Aislantes eléctricos: La baquelita era conocida por su excelente capacidad de aislamiento eléctrico, por lo que se utilizaba en la fabricación de componentes eléctricos, interruptores y enchufes.
- Utensilios de cocina: Se empleaba en la fabricación de mangos de utensilios de cocina debido a su resistencia al calor.
- Joyería: La baquelita se usaba para hacer pulseras, collares y otros accesorios de moda. A menudo, se moldeaba en formas y colores variados.
- Partes de automóviles: En el pasado, se utilizaba en la fabricación de piezas para automóviles, como pomos de palancas de cambios y volantes.
- Teléfonos antiguos: Los teléfonos de disco antiguos a menudo tenían partes hechas de baquelita.
Aunque la baquelita ha sido en gran parte reemplazada por otros plásticos en muchas aplicaciones, su legado como el primer plástico sintético exitoso sigue siendo importante en la historia de los materiales sintéticos.
¿Y en la actualidad que se fabrica con baquelita?
Aunque la baquelita ha sido en gran medida sustituida por otros plásticos más modernos en muchas aplicaciones, aún se utiliza en algunas áreas específicas. Algunos de los productos que todavía se fabrican con baquelita incluyen:
- Componentes eléctricos y aisladores: Debido a su excelente capacidad de aislamiento eléctrico y resistencia al calor, la baquelita todavía se utiliza en algunos componentes eléctricos, interruptores y conectores.
- Manijas y pomos de utensilios de cocina: En algunos casos, la baquelita se sigue utilizando para fabricar mangos de utensilios de cocina debido a su resistencia al calor y durabilidad.
- Piezas industriales y de maquinaria: En entornos industriales específicos, la baquelita aún puede emplearse para ciertas piezas y componentes debido a sus propiedades mecánicas y térmicas.
- Componentes de automóviles: En ciertos casos, especialmente en la restauración de automóviles clásicos, la baquelita puede utilizarse para recrear partes auténticas como pomos de palancas de cambios o interruptores.
Es importante destacar que, en comparación con su uso histórico, la baquelita tiene una presencia mucho menor en la fabricación de productos en la actualidad. Otros plásticos más modernos y con propiedades específicas suelen ser preferidos en muchas aplicaciones debido a su mayor versatilidad y rendimiento.
¿Se puede trabajar de forma casera?
La síntesis de baquelita y muchos otros plásticos modernos implica procesos químicos y condiciones de laboratorio que no son seguros ni prácticos para realizar en un entorno doméstico sin el equipo adecuado y la experiencia en manipulación de sustancias químicas. Además, algunos de los reactivos utilizados en la síntesis de plásticos pueden ser tóxicos o peligrosos.

La fabricación de plásticos a nivel industrial implica controlar cuidadosamente las condiciones de reacción, la temperatura, la presión y otros factores para garantizar la calidad y la seguridad del producto final.
Si tienes interés en actividades relacionadas con la química o experimentación, te recomendaría buscar experimentos seguros y apropiados para el hogar que no involucren sustancias peligrosas. Hay muchas actividades científicas y experimentos divertidos que puedes realizar de manera segura en casa sin necesidad de utilizar reactivos peligrosos.
Plásticos que han sustituido a la baquelita
La baquelita, aunque fue un hito en la historia de los plásticos, ha sido en gran medida reemplazada por plásticos más modernos y versátiles. Algunos de los plásticos que han sustituido a la baquelita en diversas aplicaciones son:
- Polímeros termoplásticos:
- Polietileno: Ampliamente utilizado en envases, bolsas y productos de consumo.
- Poliuretano: En espumas, recubrimientos y adhesivos.
- Policarbonato: Se utiliza en la fabricación de botellas, lentes de gafas y componentes electrónicos.
- Polipropileno: Presente en envases, textiles y componentes automotrices.
- Resinas fenólicas modernas:
- Aunque la baquelita fue la primera resina fenólica, existen resinas fenólicas más modernas con propiedades mejoradas que se utilizan en algunas aplicaciones similares.
- Resinas epoxi: Estas resinas termoestables se utilizan en adhesivos, recubrimientos y componentes eléctricos.
- Polímeros de ingeniería:
- Nylon: Presente en textiles, piezas de automóviles y componentes industriales.
- Poliéster: Ampliamente utilizado en textiles, botellas de plástico y películas.
- Poliacrilonitrilo (PAN) y otros plásticos de ingeniería: Utilizados en la fabricación de componentes mecánicos, estructurales y productos de alta resistencia.
Estos son solo algunos ejemplos, y la elección del plástico depende de las propiedades específicas requeridas para una aplicación particular. Los plásticos modernos suelen ofrecer una combinación de propiedades mecánicas, térmicas y químicas que hacen que sean más adecuados para una variedad de usos en comparación con la baquelita.
Apoya al canal realizando tus compras en Amazon a través de este enlace https://amzn.to/3N58i8l

